Raw Data for BglB Variant P251S
Expression Data
Kinetic Assay Data
| [S] (mm) | 1 | 2 | 3 | |||
|---|---|---|---|---|---|---|
| A | 75.00 | 2.09E-01 | 2.18E-01 | 2.17E-01 | ||
| B | 25.00 | 1.78E-01 | 1.80E-01 | 1.82E-01 | ||
| C | 8.33 | 1.68E-01 | 1.84E-01 | 1.67E-01 | ||
| D | 2.78 | 1.11E-01 | 9.03E-02 | 9.75E-02 | ||
| E | 0.93 | 3.69E-02 | 4.08E-02 | 4.07E-02 | ||
| F | 0.31 | 1.50E-02 | 1.74E-02 | 1.50E-02 | ||
| G | 0.10 | 5.40E-03 | 5.85E-03 | 5.40E-03 | ||
| H | 0.03 | 0 | 0 |
Protein purified on 11/1/2024 and assayed on 11/8/2024.
Data uploaded by pmanu002 and last updated on 2024-11-22 13:25:02.
Reference Data for WT
| [S] (mm) | 1 | 2 | 3 | |||
|---|---|---|---|---|---|---|
| A | 75.00 | 3.07E-01 | 3.02E-01 | 2.72E-01 | ||
| B | 25.00 | 2.52E-01 | 2.48E-01 | 2.46E-01 | ||
| C | 8.33 | 2.34E-01 | 2.43E-01 | 2.25E-01 | ||
| D | 2.78 | 1.20E-01 | 1.32E-01 | 1.35E-01 | ||
| E | 0.93 | 5.48E-02 | 5.48E-02 | 5.48E-02 | ||
| F | 0.31 | 2.07E-02 | 2.12E-02 | 2.22E-02 | ||
| G | 0.10 | 7.50E-03 | 7.05E-03 | 7.35E-03 | ||
| H | 0.03 | 0 | 7.50E-04 | 4.50E-04 |
Protein purified on 11/1/2024 and assayed on 11/8/2024.
Data uploaded by pmanu002 and last updated on 2024-11-22 13:08:38.
Thermostability Assay Data
| T (°C) | 1 | 2 | 3 | |||
|---|---|---|---|---|---|---|
| A | 50.0 | 6.00E-04 | 7.50E-04 | |||
| B | 48.3 | 6.00E-04 | 6.00E-04 | |||
| C | 45.7 | 7.50E-04 | 7.50E-04 | |||
| D | 42.4 | 1.20E-03 | 1.50E-03 | 7.50E-04 | ||
| E | 37.7 | 2.16E-02 | 2.12E-02 | 2.03E-02 | ||
| F | 33.6 | 7.76E-02 | 7.74E-02 | 7.70E-02 | ||
| G | 31.3 | 9.38E-02 | 8.39E-02 | 8.12E-02 | ||
| H | 30.0 | 6.99E-02 | 7.67E-02 | 5.81E-02 |
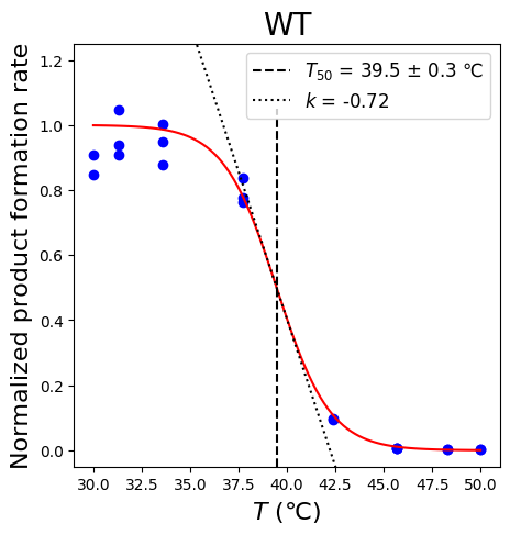
Reference Data for WT
| T (°C) | 1 | 2 | 3 | |||
|---|---|---|---|---|---|---|
| A | 50.0 | 6.00E-04 | 4.50E-04 | |||
| B | 48.3 | 6.00E-04 | 6.00E-04 | |||
| C | 45.7 | 9.00E-04 | 9.00E-04 | 1.05E-03 | ||
| D | 42.4 | 1.61E-02 | 1.59E-02 | |||
| E | 37.7 | 1.27E-01 | 1.39E-01 | 1.29E-01 | ||
| F | 33.6 | 1.67E-01 | 1.46E-01 | 1.58E-01 | ||
| G | 31.3 | 1.74E-01 | 1.56E-01 | 1.51E-01 | ||
| H | 30.0 | 1.51E-01 | 1.41E-01 |
Protein purified on 11/1/2024 and assayed on 11/8/2024.
Data uploaded by pmanu002 and last updated on 2024-11-22 13:12:21.
Design Data
Citations
The unpublished data above were collected by students from Florida International University. For inquiries, please contact Jaime Mayoral: <mayoralj@fiu.edu>.
