Raw Data for Wild-Type BglB
Expression Data
Kinetic Assay Data

[S] (mm) | 1 | 2 | 3 | |||
---|---|---|---|---|---|---|
A | 75.00 | 1.88E-01 | 1.82E-01 | 1.79E-01 | ||
B | 25.00 | 1.49E-01 | 1.52E-01 | 1.47E-01 | ||
C | 8.33 | 1.35E-01 | 1.37E-01 | 1.39E-01 | ||
D | 2.78 | 6.51E-02 | 6.22E-02 | 6.55E-02 | ||
E | 0.93 | 4.34E-02 | 4.43E-02 | 4.18E-02 | ||
F | 0.31 | 2.02E-02 | 1.64E-02 | 1.69E-02 | ||
G | 0.10 | 9.45E-03 | 1.03E-02 | 7.65E-03 | ||
H | 0.03 | 3.40E-03 | 3.45E-03 | 2.45E-03 |
Protein purified on 7/24/2024 and assayed on 7/25/2024.
Data uploaded by ssvojano and last updated on 2024-07-26 16:06:22.
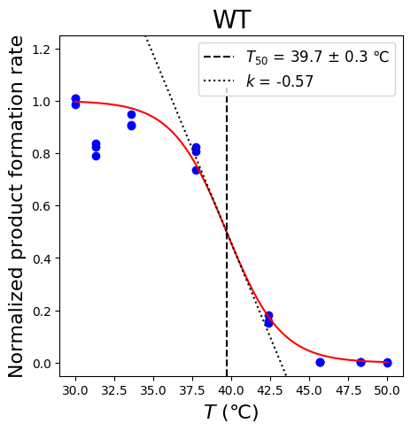
Thermostability Assay Data

T (°C) | 1 | 2 | 3 | |||
---|---|---|---|---|---|---|
A | 50.0 | 0 | 7.00E-04 | |||
B | 48.3 | 4.00E-04 | 5.00E-04 | 6.00E-04 | ||
C | 45.7 | 6.00E-04 | 9.00E-04 | 7.00E-04 | ||
D | 42.4 | 4.12E-02 | 3.96E-02 | 4.71E-02 | ||
E | 37.7 | 2.14E-01 | 1.91E-01 | 2.10E-01 | ||
F | 33.6 | 2.47E-01 | 2.35E-01 | 2.36E-01 | ||
G | 31.3 | 2.18E-01 | 2.14E-01 | 2.05E-01 | ||
H | 30.0 | 2.62E-01 | 2.56E-01 | 2.62E-01 |
Citations
The unpublished data above were collected by students from Missouri Western State University. For inquiries, please contact Stanislav Svojanovsky: <stsvojano@missouriwestern.edu>.